关于绶溪片区地块十-A项目土壤污染状况调查报告编制单位招标公告的更正公告
【发布日期:2024-08-16】 【来源:本站】 【阅读:次】
关于绶溪片区地块十-A项目土壤污染状况调查报告编制单位招标公告的更正公告
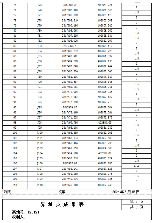
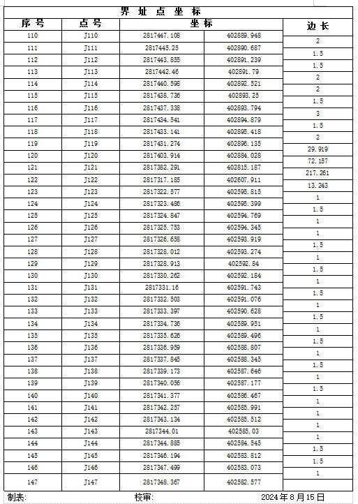
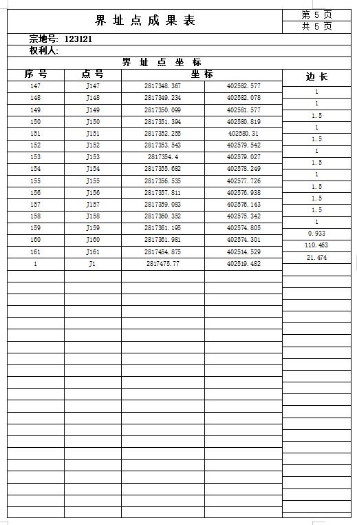
一、公告基本信息 原公告名称:绶溪片区地块十-A项目土壤污染状况调查报告 编制单位招标公告 二、更正信息 更正事项:增加附件2(地块十-A界址坐标表) 更正原因:为各供应商能够更清楚该项目地理位置 更正内容:附件2
三、其他补充事宜 项目截止日期延长至2024年8月21日上午十点整 四、凡对本次公告内容提出询问,请按以下方式联系
联系电话:0594-2259586 陈先生 监督电话:18650286172 陈女士
禁忌书屋 2024年8月16日 |






